【このページは現在作成中です】

第2回:数理統計:統計的仮説検定

2.1 数学の前提知識

命題 

真か偽のどちらかに定まっている文を命題という.

ここでは命題として p⇒q(pであるならばqである)を考える.

命題の裏,逆,対偶

3-1.png

対偶命題

3-2.png

命題の真偽と対偶命題の真偽は一致する

3-2-2.png

カイ二乗分布

3-3.png

分布の概形

3-3-2.png

t分布

3-4.png

分布の概形

3-4-2.png

F分布

3-5.png

分布の概形

3-5-2.png

仮説検定で用いられる代表的な確率分布

3-6.png

ベルヌーイ分布

3-7.png

2.2 仮説検定の基礎

母集団分布

3-8.png

標本から分布のパラメータを推定し,母集団の推測を行う.

3-9.png

母集団分布のパラメータの仮説を立てて,標本から判定する.

例1) このコインで行うコイントスは公正か?

3-10.png
3-11.png
3-12.png

帰無仮説が正しいときに「出にくい結果」とは?

小さい方から2.5%以下,大きい方から2.5%以下で定めると…

3-13.png

棄却域

3-14.png

有意水準

3-14-2.png
 
3-15.png

中心極限定理

3-16.png

母集団分布がベルヌーイ分布の場合

3-17.png
3-18.png
3-19.png

母集団分布,仮説の設定,検定統計量

3-20.png

母集団分布のパラメータの仮説を立てて,標本から判定する.

3-21.png

studentのt分布

3-22.png

母集団分布が正規分布の場合

3-23.png
3-24.png

母集団分布,仮説の設定,検定統計量

3-25.png

検定方式

3-26.png

p値

3-27.png

2.3 各種検定手法

3-28.png

正規性検定

3-29.png

Q-Qプロット

3-30.png

正規性検定とQ-Qプロットの比較

3-31.png

ノンパラメトリック検定

3-32.png

ブートストラップ検定

3-33.png
3-34.png
3-35.png

2群比較のための仮説検定

3-36.png

第1母集団から得られた無作為標本,標本平均

3-37-1.png

第2母集団から得られた無作為標本,標本平均

3-37-2.png

すべての無作為標本の標本平均

3-37-3.png

母集団分布,仮説の設定,検定統計量

3-38.png

2群比較のための仮説検定

3-39.png

第1母集団から得られた無作為標本,標本平均,不偏標本分散

3-40-1.png

第2母集団から得られた無作為標本,標本平均,不偏標本分散

3-40-2.png

母集団分布,仮説の設定,検定統計量

3-41.png

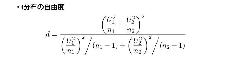
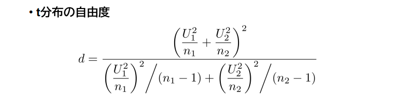
t分布の自由度

3-42.png

正規分布を仮定できない場合

ブートストラップ法,ノンパラメトリックな方法を利用する.

3群以上の比較の際の注意点

3-43.png
3-44.png
3-45-1.png

Bonferroni法

3-45-2.png

Holm法

3-46-1.png

その他

3-46-2.png

帰無仮説と対するp値が以下のように得られたとする.

3-47.png

Bonferroni法

3-48.png

Holm法

3-49.png

トップ   新規 一覧 検索 最終更新   ヘルプ   最終更新のRSS